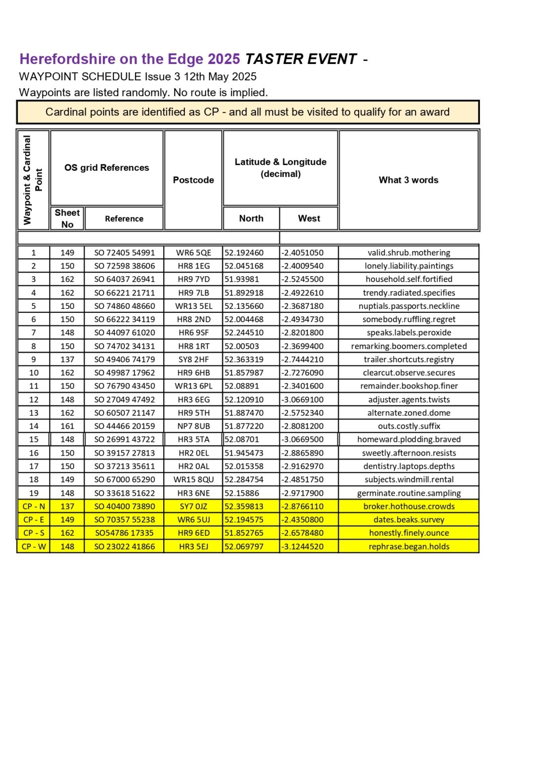
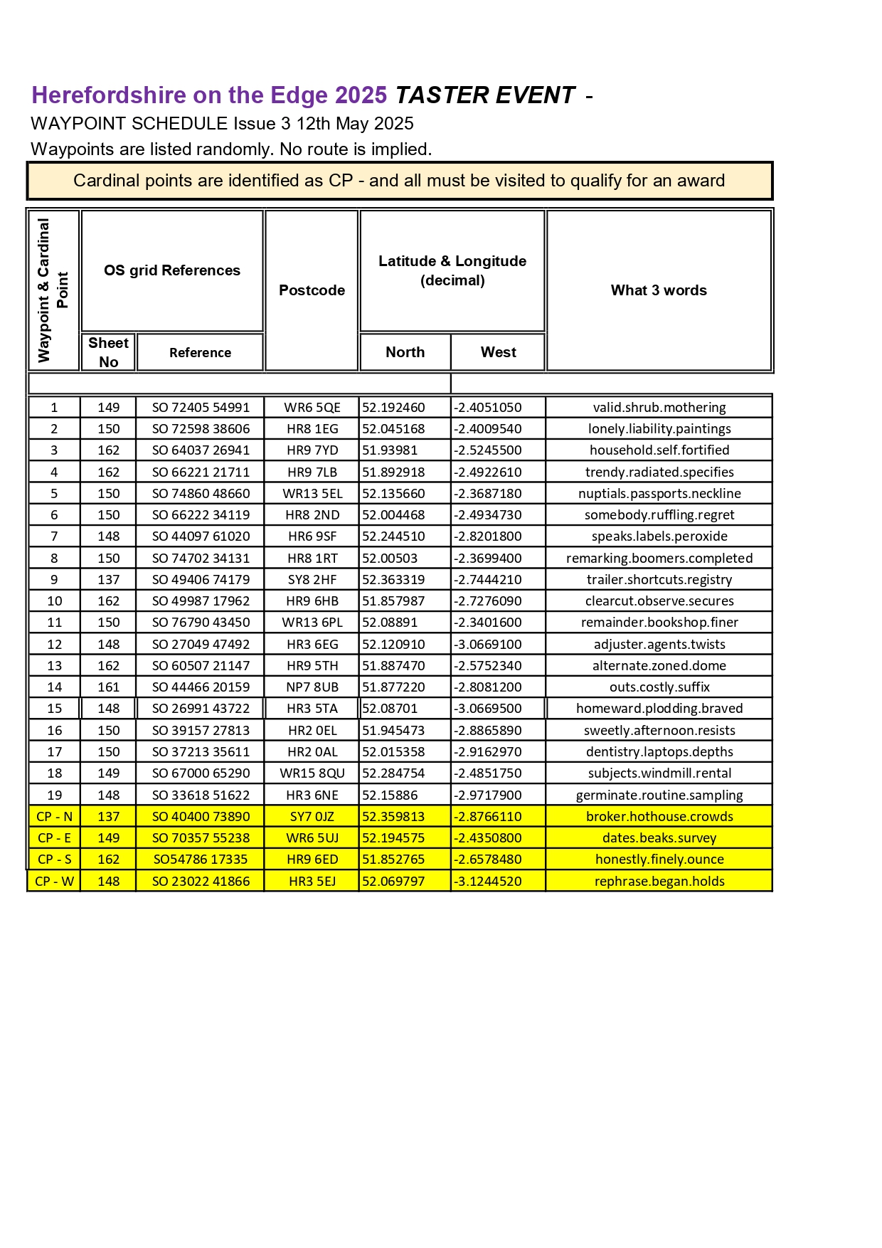
(HOTE) - June 29th 2025 gallery page (HOTE) Herefordshire on the Edge 2025 Newsletter Issue 4 and results click icon to download (HOTE) 2025 results (HOTE) Herefordshire on the Edge 2025 - Results (HOTE) Herefordshire On The Edge Newsletter at Issue 3 - 2025, Waypoints at Issue 5 & Taster Event. Page updated 19th June 2025 waypoints page 1 download waypoints page 2 download taster event download